Fechar

Escolha o seu idioma ou região

Close

This website content is also available in COUNTRY TO CHANGE.

74 resultados encontrados compositos cortiça

19 . abr . 2022
Compostos poliméricos de cortiça

A cortiça permite a combinação com diversos materiais termoplásticos, substituindo parcialmente o plástico e criando produtos finais mais sustentáveis. Estes materiais podem ser processados com recurso a diferentes técnicas produtivas —como por exemplo, a extrusão, injeção, termoformação, moldação por sopro ou prensa e…

01 . fev . 2022
Compósitos de cortiça para alto desempenho

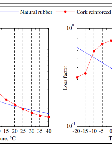
Ao passo que a cortiça tem um fator de perda superior ao da borracha - essencial para a função amortecedora e consequente dissipação de energia - as borrachas anti vibração são isolantes e oferecem muito pouco amortecimento. A combinação destes dois materiais num compósito de cortiça com borracha apresenta característi…

Blog 11 . mar . 2026
Blog
Compósitos de cortiça e borracha em aplicações ferroviárias

À medida que os sistemas ferroviários globais buscam maior durabilidade, conforto e responsabilidade ambiental, os engenheiros concentram-se cada vez mais em componentes que apoiam o desempenho e a sustentabilidade.

20 . ago . 2024
Blog 31 . out . 2017
Blog
Os Compósitos de Cortiça da Amorim vão para o espaço outra vez. Desta vez com a United Launch Alliance (ULA) e a Ruag Space.

Os foguetões next-generation da ULA, que usam estruturas primárias de compósitos fornecidas pela Ruag Space, vão incorporar a solução térmica ablativa P50 da Amorim. Com o nome de Vulcan, estes foguetões da ULA vão substituir os Atlas e os Delta, que já usam este produto da Amorim. Solução térmica ablativa Amorim P50  …

20 . ago . 2024
Na procura por materiais inovadores, sustentáveis e eficientes, a indústria da mobilidade tem vindo a explorar diversas alternativas aos com…

Os CPCs são uma gama de biocompósitos desenvolvidos pela i.cork factory da Amorim Cork Solutions, combinando a amoldabilidade dos plásticos com a leveza e sustentabilidade da cortiça. Utilizando plásticos de base biológica derivados de recursos renováveis, estes compostos oferecem uma alternativa ecológica aos plástico…

18 . out . 2016
A nossa missão

Valorizar a cortiça, desenvolvendo soluções com compósitos sustentáveis para múltiplas aplicações.

29 . nov . 2023
26 . mar . 2024
26 . set . 2017
Vedantes e juntas para acessórios e equipamentos elétricos

Compósitos de cortiça com borracha que resultam em materiais indicados para aplicações de vedação plana.

07 . mar . 2024
22 . abr . 2022
Soluções de compósitos de cortiça com borracha especificamente desenvolvidas para produzir os materiais mais indicados para selagem.

Amorim Tech Seal tem como prioridade o mercado da selagem nas indústrias automóvel, maquinaria pesada e gás. Fruto de um investimento contínuo em I&D, desenvolvemos um portefólio muito diversificado de soluções de selagem para estas áreas. Trabalhamos de forma próxima com os nossos clientes no desenvolvimento de ju…

20 . abr . 2022
Amorim T&D

Compósitos de cortiça aumentam a vida útil das centrais de produção elétrica e das redes de distribuição.

26 . set . 2017
Vedantes e juntas para acessórios e equipamentos elétricos

Compósitos de cortiça com borracha que resultam em materiais indicados para aplicações de vedação plana.

22 . ago . 2023
Soluções de selagem Amorim Tech Seal contribuem para o aumento da sustentabilidade das aplicações finais

Como é que as soluções de compósitos de cortiça Amorim Tech Seal contribuem para uma selagem mais eficiente, ao mesmo tempo que melhoram a sustentabilidade do sistema?

Blog 01 . abr . 2026
Blog
Como as palmilhas ferroviárias resilientes de cortiça e borracha prolongam a vida útil do balastro e reduzem a manutenção

A Amorim Cork Solutions desenvolve compósitos de cortiça e borracha que oferecem uma combinação única de elasticidade, capacidade de amortecimento e estabilidade mecânica a longo prazo.

02 . mai . 2022
Soluções de cortiça para um setor energético mais sustentável

Reinventamos o setor energético com materiais compósitos, à base de cortiça, que melhoram o desempenho técnico e promovem a sustentabilidade

20 . ago . 2024
Garantir soluções de selagem eficazes e confiáveis é essencial, sobretudo no que diz respeito às aplicações de gás doméstico. A Amorim Tech…

Os reguladores de gás são componentes encontrados em vários eletrodomésticos utilizados no dia a dia. A sua principal função é manter uma pressão de gás consistente e segura dentro do sistema. Dada a natureza crítica desta tarefa, é essencial a escolha da correta solução de selagem que ofereça um alto desempenho e fiab…

25 . nov . 2024
Aumentar a vida útil de transformadores elétricos: As vantagens da utilização de palmilhas antivibráticas internas

De forma a minimizar a degradação progressiva dos componentes internos de um transformador, é necessária a aposta na utilização de materiais especializados para o controlo das vibrações. Nesse contexto, a Amorim Cork Solutions desenvolveu diferentes soluções sustentáveis de compósitos de cortiça.

12 . ago . 2019
Missão

Para valorizar a cortiça, desenvolvendo soluções com compósitos sustentáveis para múltiplos produtos e aplicações.

Blog 11 . mar . 2026
Blog
Texto e Imagem 0

Pesquisas anteriores, particularmente o trabalho de Squicciarini et al. (2015), demonstraram que esses efeitos são especialmente relevantes quando se comparam palmilhas de borracha convencionais com compósitos de cortiça e borracha.

Factos e Curiosidades 18 . out . 2016
Factos e Curiosidades
Composição química da cortiça

suberina (45%) - principal componente das paredes das células, responsável pela elasticidade da cortiça; lenhina (27%) - composto isolante; polissacáridos (12%) - componentes das paredes das células que ajudam a definir a textura da cortiça; taninos (6%) - compostos polifenólicos responsáveis pela cor; ceróides (5%) -…

Blog 26 . out . 2017
Blog
(2)

A cortiça é incorporada num painel em forma de sanduíche de bio-compósitos e que traz vantagens únicas em termos de isolamento térmico, de proteção antifúngica, de retardamento do fogo e da qualidade do ar interior. As células da cortiça são impregnadas de ar, o que torna a cortiça um excelente e ímpar isolante térmico…

Blog 26 . out . 2017
Blog
quote

"Os compósitos de cortiça usados – que vão desde granulados de cortiça (usados nos canteiros do jardim ou para enchimento dos assentos) até rolos – são excecionais não só por causa do seu valor formal, mas também porque, em termos táticos, criam uma vontade imediata de lhes tocar", Ana Pérez-Quiroga.

Blog 02 . nov . 2018
Blog
final

Todos estes produtos são compostos por cortiça de alta densidade enquanto material isolante. Os produtos Nitrocork também são combinados com materiais de alta qualidade, como o aço inoxidável para a placa de trabalho.Vários chefs de referência que usam esta técnica de cozinha - como Dani Garcia, Celler Roca e Nandu Jub…

20 . ago . 2024
Soluções de cortiça para uma melhor vedação

Ao optarmos por soluções de compósitos de cortiça ao invés de soluções 100% borracha, para além de contribuirmos para um sistema mais amigo do ambiente, adicionamos à solução os benefícios da cortiça como resiliência natural, flexibilidade e baixa extrusão lateral. Ao apostar nas soluções Amorim T&D, os fabricantes…

Casos de Estudo 18 . out . 2016
Casos de Estudo
Produtos

A gama de produtos de cortiça Corecork ™ foi especialmente concebida para a indústria dos compósitos. Através da combinação de aglutinantes específicos, com grãos de cortiça selecionados e calibrados desenvolvidos para a aglomeração, é obtido um material único totalmente compatível com todas as outras matérias-primas u…

13 . mar . 2024
A utilização de cortiça para um design inovador

Para as partes estruturais da minicaravana foram utilizados painéis multicamada compostos pelo material Amorim MAC016 no núcleo. Esta solução faz parte da gama da Amorim Cork Solutions especificamente desenvolvida para o setor Mobilidade, que combina cortiça com outros materiais provenientes de economia circular, geran…

Casos de Estudo 08 . out . 2025
Casos de Estudo
A Nossa Solução

A Amorim Cork Solutions desenvolveu uma solução de TPS biológica, feita a partir de compósitos de cortiça de elevado desempenho e resinas. Pensado especificamente para veículos reutilizáveis como o Themis, este TPS foi concebido para resistir ao calor extremo, mantendo a integridade estrutural. Para permitir uma rápida…

23 . out . 2017
Atenuação do impacto para transporte ferroviário ligeiro e pesado.

Há compostos de cortiça desenhados para serem usados como tapetes de carril, placas de assentamento, tapetes de travessas e de balastro. Disponíveis numa variedade de grossuras, estes materiais fornecem diferentes graus de atenuação do impacto para transporte ferroviário ligeiro e pesado, em carris sobre placa ou sobre…

06 . mar . 2024
Atenuação do impacto para transporte ferroviário ligeiro e pesado.

Há compostos de cortiça desenhados para serem usados como tapetes de carril, placas de assentamento, tapetes de travessas e de balastro. Disponíveis numa variedade de grossuras, estes materiais fornecem diferentes graus de atenuação do impacto para transporte ferroviário ligeiro e pesado, em carris sobre placa ou sobre…

10 . mai . 2018
Nivelação do pavimento

A escolha de uma solução de nivelamento apropriada é uma parte essencial da preparação do subpavimento. Um subpavimento nivelado é um requisito básico para quase qualquer tipo de revestimento de pavimento. Qualquer irregularidade com menos de 2 mm pode ser facilmente nivelada com o underlay apropriado. Por exemplo, os…

16 . abr . 2018
Nivelação do pavimento

A escolha de uma solução de nivelamento apropriada é uma parte essencial da preparação do subpavimento. Um subpavimento nivelado é um requisito básico para quase qualquer tipo de revestimento de pavimento. Qualquer irregularidade com menos de 2 mm pode ser facilmente nivelada com o underlay apropriado. Por exemplo, os…

07 . abr . 2022
text

Aqui investigamos e desenvolvemos materiais inovadores à base de cortiça. Fazemo-lo através da aplicação de processos de extrusão, laminação ou moldação, assim como pela combinação da cortiça com outras matérias-primas, dando origem a novos materiais.  Desta forma, usando apenas cortiça ou compósitos que juntam a corti…

18 . out . 2016
Pertencemos à Corticeira Amorim, pioneira e líder na indústria da cortiça, desde o século XIX.

A Corticeira Amorim é um dos maiores grupos industriais de Portugal e tornou-se o líder global indústria mundial de cortiça. No seu setor de negócio encontram-se agrupadas cinco áreas: matérias-primas, rolhas, pavimentos e revestimentos, isolamentos e compósitos.

Blog 12 . dez . 2017
Blog
Porque é que a cortiça é tão atraente para criar peças de mobiliário?

Cédric: Em primeiro lugar, pela sua aparência natural. A utilização de compósitos de cortiça inspira-nos a adotar uma linguagem contemporânea direta. Klas: Porque é tão familiar... sentimo-nos logo em casa.

Blog 20 . jul . 2022
Blog
intro

A Amorim Cork Solutions lançou o novo subpavimento Go4cork Blend, com pegada de carbono negativa, que combina compósitos de cortiça e espuma de EVA, proveniente dos excedentes do processo de fabrico de calçado da Nike – designados por Nike Grind.

18 . out . 2016
Vega, o foguetão europeu

O foguetão da ESA - Agência Espacial Europeia foi lançado para o Espaço em 2012, equipado com produtos técnicos produzidos na Amorim Cork Solutions. O Vega foi construído para transportar cargas com peso até 2,5 toneladas e colocá-las em órbitas que fiquem entre os 300 e os 1500 quilómetros de altitude. Para evitar o s…

18 . jul . 2023
ILLIANCE

Áreas de Aplicação | Compósitos e selagem Objetivo | Desenvolvimento de compósitos de cortiça para revestimento de tanques de hidrogénio e para selagem de redes de distribuição Região de Intervenção | Portugal Entidades beneficiárias | IAPMEI Data de início | 01-10-2023 Data de conclusão | 31-12-2025 Parceiros| Líder d…

21 . ago . 2025
O que torna os produtos para ferrovia produzidos em cortiça–borracha especiais?

Os compósitos cortiça–borracha conjugam dois materiais complementares: ● Cortiça: elevada compressibilidade, excelente capacidade de amortecimento, baixa densidade e forte recuperação elástica.● Borracha: resistência mecânica, flexibilidade e durabilidade sob esforço.Esta sinergia permite absorver e dissipar vibrações…

Casos de Estudo 08 . out . 2025
Casos de Estudo
Resultados e impacto

O veículo NURI concluiu com sucesso vários testes de voo, validando a eficácia do TPS da Amorim. A integração da cortiça proporcionou: Resistência comprovada ao stress térmico Poupanças de peso que contribuíram para o sucesso da missão Uma mudança positiva para materiais aeroespaciais mais sustentáveis Este caso reforç…

02 . mar . 2026
Amorim Sports

A Amorim Sports é uma empresa líder especializada em soluções à base de cortiça para aplicações desportivas, reconhecida por combinar inovação com sustentabilidade. Desenvolvemos e fornecemos enchimentos e amortecedores feitos de cortiça natural e compósitos de cortiça, proporcionando uma absorção de impacto excecional…

02 . mai . 2022
Cortiça ao serviço da energia eólica

O setor eólico é uma das áreas que beneficia da leveza e da baixa condutividade térmica da cortiça para assegurar o bom funcionamento e durabilidade das estruturas de produção de energia.  A cortiça é aplicada nas grandes pás das turbinas eólicas para evitar danos provocados pela vibração estrutural dos equipamentos. A…

Blog 29 . mar . 2017
Blog
intro (3)

“Blocks” é uma instalação com 50 m2, inteiramente concebida a partir de cortiça. No total, foram utilizados 108 blocos de cortiça (940x640x20 cm), feitos a partir de três compósitos diferentes, criando uma área informal para sentar inspirada na topografia da própria natureza. Rona Meyuchas-Koblenz explica “tenho dese…

Blog 27 . abr . 2022
Blog
text2

Também investigamos e desenvolvemos materiais inovadores à base de cortiça. Fazemo-lo através da aplicação de processos de extrusão, laminação ou moldação, assim como pela combinação da cortiça com outras matérias-primas, dando origem a novos materiais.Desta forma, usando apenas cortiça ou compósitos que juntam a corti…

20 . ago . 2024
Soluções multicamadas para o isolamento térmico das baterias

FiberCork é uma gama de soluções concebidas para o isolamento térmico de baterias de alta tensão de veículos elétricos, podendo ser utilizada como thermal pads, divisórias ou coberturas de módulos, garantindo um excelente desempenho de isolamento.  Esta nova gama de soluções combina a expertise da Amorim Cork Solutions…

13 . nov . 2019
Underscreeds de origem natural ou reciclada, uma escolha ecológica

As espumas de polietileno, lãs minerais, fibras de madeira e de coco, borrachas sintéticas e a cortiça e seus derivados são os materiais mais utilizados no fabrico das mantas de underscreed atualmente disponíveis no mercado. No entanto, alguns destes materiais provêm de recursos não renováveis e a sua produção e proces…

12 . ago . 2019
Intro text Mini Rolls

Explore também a versatilidade dos nossos rolos multifunções para uma variedade de diferentes aplicações. Os rolos de compósitos de cortiça estão disponíveis em várias espessuras e tamanhos, com ou sem autoadesivo. Podem não só ser aplicados em paredes, como também podem ser utilizados como um forro antiderrapante em…

16 . set . 2019
text

Passo 1: os produtos Go4cork são produzidos maioritariamente com a cortiça não usada na indústria das rolhas Quando pensamos em cortiça, pensamos quase automaticamente em rolhas. No entanto, a produção de rolhas utiliza apenas cerca de 30% da matéria-prima. Foi precisamente para dar uma nova vida à cortiça não usada po…

Casos de Estudo 18 . out . 2016
Casos de Estudo
Solução

Para responder aos critérios da Spinneybeck e às exigências da sua nova coleção, a Amorim Cork Solutions desenvolveu materiais, processos e ferramentas para produzir os ladrilhos de cortiça desenhados por Lars Beller Fjetland. Lisboa e Porto são ladrilhos de parede em aglomerado compósito com capacidade de absorção acú…

07 . jan . 2020
Inovar com cortiça

Procurando levar mais longe este perfil único da cortiça, a Amorim Cork Solutions desenvolve continuamente novas fórmulas e compósitos que reforcem as propriedades naturais deste material e permitam criar produtos inovadores. Dado que em alguns desses produtos a cortiça surge combinada com outras matérias-primas, por v…

Casos de Estudo 31 . out . 2017
Casos de Estudo
Otimização na construção do deck e nos procedimentos de montagem.

Desde 2009, a WOLZ NAUTIC tem sido pioneira na tecnologia do deck primário de cortiça, melhorando significativamente a montagem do deck em termos de horas de trabalho, custos de material, aplicação e acabamento. Estas vantagens são possíveis graças às características únicas da cortiça. A cortiça pode ser unida com liga…

Casos de Estudo 02 . out . 2025
Casos de Estudo
Sobre a Amorim Cork Solutions

Na Amorim Cork Solutions, desenvolvemos soluções que incorporam compósitos de cortiça de elevado desempenho, combinando inovação e sustentabilidade. Utilizamos a cortiça, uma matéria-prima 100% natural, renovável e reciclável, para criar soluções inovadoras para diversas indústrias, como aeroespacial, marítima, mobilid…

23 . out . 2017
Finalidade da instalação

Os apoios da gama Acousticork, constituídos por compósitos de cortiça e borracha natural, foram projetados para otimizar o isolamento ao ruído de impacto na construção do piso e para alcançar frequências de ressonância de 6 a 10Hz. Quando integrados num sistema de piso flutuante, os apoios VC1000 são usados para obter…

11 . mar . 2022
Finalidade da instalação

Os apoios da gama Acousticork, constituídos por compósitos de cortiça e borracha natural, foram projetados para otimizar o isolamento ao ruído de impacto na construção do piso e para alcançar frequências de ressonância de 6 a 10Hz. Quando integrados num sistema de piso flutuante, os apoios VC1000 são usados para obter…

Blog 26 . set . 2019
Blog
Tendo por base que “nada é desperdiçado, tudo é valorizado”, os princípios da economia circular são aplicados na Amorim Cork Solutions desde…

Reforçando esta proposta de valor ecológica baseada num modelo de circularidade, novas gamas de produtos vão sendo atualizadas, passando a incorporar matéria prima excedente de outras indústrias como a do calçado, automóvel, desporto ou da produção de estofos, que teriam como destino final o aterro sanitário. Estes mat…

21 . set . 2017
Se ne​ste momento está a decidir qual o tipo de pavimento vai usar na remodelação da sua casa, e se a sua preocupação está apenas voltada pa…

Um underlay é muito mais do que algo que coloca sob o pavimento. O underlay de cortiça pode determinar a performance do seu pavimento em termos de propriedades acústicas e conforto, aumentando também a sua durabilidade. Embora não sejam visíveis, as características do underlay podem ser sentidas e acrescentar valor ao…

11 . mar . 2022
Se ne​ste momento está a decidir qual o tipo de pavimento vai usar na remodelação da sua casa, e se a sua preocupação está apenas voltada pa…

Um underlay é muito mais do que algo que coloca sob o pavimento. O underlay de cortiça pode determinar a performance do seu pavimento em termos de propriedades acústicas e conforto, aumentando também a sua durabilidade. Embora não sejam visíveis, as características do underlay podem ser sentidas e acrescentar valor ao…

Blog 24 . abr . 2017
Blog
intro (1)

A casa integra cortiça cedida pelas empresas Amorim Cork Solutions e Amorim Isolamentos, designadamente 300 blocos de aglomerado de cortiça expandida, um material que se assume como o elemento estrutural das paredes deste espaço, e diversas soluções de compósitos de cortiça, que asseguram o revestimento exterior da cob…

12 . ago . 2019
text

Apresentamos-lhe a Go4cork, uma nova marca de produtos de bricolagem em cortiça  criados especialmente para quem está sempre a pensar no próximo projeto para renovar ou decorar a casa ou o escritório, mas se preocupa também com o meio ambiente e valoriza o consumo responsável. Com a Go4cork é tão fácil fazer pequenas…

02 . jun . 2023
Melhores resultados de forma mais sustentável

A soluções de compósitos de cortiça Amorim T&D foram idealizadas e testadas especificamente para equipamentos de transmissão e distribuição de modo a satisfazer as necessidades da aplicação. A incorporação de cortiça no material confere à solução uma excelente conformabilidade e reduzida expansão lateral, caracterí…

Blog 28 . set . 2021
Blog
ARA Quote

“Desde há muito tempo que a cortiça é utilizada no mercado energético, mas o seu potencial está, agora, a ganhar uma nova força. Da energia solar e eólica, à mobilidade elétrica, a ambição passa por, a médio prazo, fazer deste setor um dos principais pilares de crescimento da Corticeira Amorim na área dos materiais com…

30 . out . 2018
intro 2

Criação e inovação são os dois grandes vetores deste projeto que tem como principal missão conceber novos materiais, bem como testar e explorar a aplicação de tecnologias ainda não industrializadas no setor. Espera-se, desta forma, alavancar os recursos, o know-how e os processos produtivos da Amorim Cork Solutions. Li…

12 . ago . 2019
Circular desde sempre

A Amorim Cork Solutions, fundada em 1963 pela Corticeira Amorim e responsável pela marca Go4cork, é um modelo exemplar de economia circular. A empresa surgiu para valorizar a cortiça não utilizada pela indústria de rolhas e reciclar rolhas usadas. Desde então, tem alargado progressivamente o seu perfil circular, desenv…

27 . mar . 2023
Cortiça, o material ideal para soluções de selagem

A resistência térmica e química e a impermeabilidade a líquidos e gases fazem da cortiça a matéria-prima ideal para o desenvolvimento de soluções de selagem. Para além de cumprir com as diferentes especificações técnicas dos sistemas de gás, a cortiça contribui para uma redução da pegada de carbono do sistema, essencia…

04 . nov . 2021
Polímeros e economia circular

Embora este seja um artigo sobre silêncio, quando falamos do impacto da cortiça na qualidade de vida da sociedade em contexto urbano, seria ensurdecedor limitarmo-nos a falar na performance acústica do material. A cortiça é valorizada na área da construção por muitas outras características, nomeadamente, o facto de ser…

Casos de Estudo 18 . out . 2016
Casos de Estudo
products: metamorphosis

O projeto Metamorphosis reúne uma dezena de profissionais das áreas do design e da arquitetura mundial. Três dos nomes convidados foram, inclusive, vencedores do Prémio Pritzker: Álvaro Siza (Portugal), Eduardo Souto de Moura (Portugal) e Herzog & de Meuron (Suíça). Para além destes, foram ainda desafiados a aprese…

Blog 26 . out . 2017
Blog
body (2)

A gama Acousticork da Amorim Cork Solutions, desenvolvida especialmente para a indústria de construção, esta agora mais completa com estes dois materiais de controlo da vibração, feitos de compósitos produzidos com cortiça e borracha natural. Acousticork VC1005 e VC1006 são adequados para as aplicações do controlo da v…

18 . out . 2016
Amorim Cork Solutions management policy

A Amorim Cork Solutions tem como atividade principal, a produção de granulados de cortiça e aglomerados compósitos. No contexto onde se insere, a satisfação dos clientes assim como das restantes partes interessadas, é determinante para o desenvolvimento sustentável da Organização, assumindo a melhoria contínua e a disp…

28 . jul . 2025
Intro

O caiaque Värmdö da Melker of Sweden tem vindo a destacar-se por reinventar o conceito de caiaque de mar: leve, resistente e ambientalmente responsável. No núcleo desta inovação está um material que é tão técnico quanto natural. O MNL020 da Amorim Cork Solutions é um núcleo de cortiça desenvolvido especialmente para ap…

Casos de Estudo 18 . out . 2016
Casos de Estudo
Solução

Com aproximadamente menos 40% do peso - em comparação com as espessuras alternativas semelhantes que estão disponíveis no mercado - o sistema Alucork® permite a redução do consumo de energia e dos custos decorrentes deste tipo de comboios de alta velocidade, constituindo assim uma opção mais vantajosa em termos ambient…

Blog 17 . mai . 2017
Blog
A Amorim Cork Solutions acolheu este ano a Assembleia Geral da MMFA - Multilayer Modular Flooring Association.

Durante dois dias, 75 profissionais dos principais fabricantes de pavimentos discutiram sobre tendências, vendas, materiais, tecnologias, novas categorias de produtos, certificação, investigação com especialistas da área. A situação atual desta indústria e os caminhos a percorrer no futuro, rumo ao desenvolvimento e in…

Blog 18 . jun . 2018
Blog
O COMPETE 2020 pretende melhorar a competitividade e a internacionalização da economia portuguesa, com esta oportunidade a Amorim Cork Solut…

O investimento previsto destina-se ao aumento da capacidade produtiva da unidade de Mozelos, dotando-a de novos equipamentos que permitam melhorias significativas na produção para atingir ganhos de eficiência face aos atuais métodos de fabrico, dando cumprimento à condição específica de acesso do aviso. O aumento de ca…

    Filters

    Show me